当前位置: 燃气网 » 燃气行业资讯 » 国内燃气资讯 » 正文

武汉岩土所各向异性煤岩气-固耦合机理研究取得进展

日期:2017-07-24    来源:中国科学院武汉岩土力学研究所

国际燃气网

2017
07/24
09:39
文章二维码

手机扫码看资讯

关键词: 煤岩气 煤炭 煤层气开发

    我国是一个以煤炭为能源主体的国家,在煤炭开采过程中伴随产生的瓦斯既是一种有害气体也是一种清洁能源。如何有效的抽采瓦斯成为我国高瓦斯煤矿生产中的重要课题,而煤与瓦斯的气-固耦合机理研究则是高效抽采瓦斯的重要理论基础。目前国内外关于这方面的研究,为简化计算多假设煤为各向同性材料且瓦斯以各向同性渗流参与运移,而实际上自然界中煤具有显著的各向异性特征,因此上述研究不能完全反映煤与瓦斯气-固耦合真实工程和室内试验实际情况。

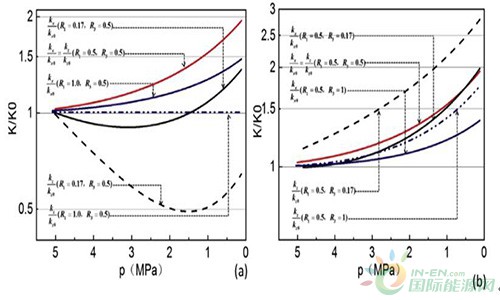
    中国科学院武汉岩土力学研究所杨典森研究员指导的亓宪寅博士生开展了瓦斯的解吸附-扩散-渗流室内试验研究,并推导出不同力学边界下各向异性煤的气-固耦合方程,同时进行了模型数值验证。研究表明:提出的瓦斯解吸滞后扩散模型,可用于定量描述煤体解吸附过程中吸附量与吸附速率的变化特征;提出了煤岩各向异性渗透模型很好反映了煤体渗透试验结果;建立了煤岩气-固耦合模型揭示了解、吸附和抽采过程煤体变形和渗透变化机理。本研究成果系统研究了各向异性煤气—固耦合过程中的煤层变形和瓦斯运移规律,可为煤层气开发工程提供参考和借鉴。
 
    上述工作得到国家重点基础研究发展计划973项目研究课题(2015CB057906), 国家自然科学基金(No.51379200,51225902)等项目资助。
 
    论文链接:1 2  
 

 

 
恒定围岩应力边界下渗透率与瓦斯压力变化示意图
返回 国际燃气网 首页

能源资讯一手掌握,关注 "国际能源网" 微信公众号

看资讯 / 读政策 / 找项目 / 推品牌 / 卖产品 / 招投标 / 招代理 / 发文章

扫码关注

0条 [查看全部]   相关评论

国际能源网站群

国际能源网 国际新能源网 国际太阳能光伏网 国际电力网 国际风电网 国际储能网 国际氢能网 国际充换电网 国际节能环保网 国际煤炭网 国际石油网 国际燃气网